شقق الإسكان.. 1 ديسمبر بدء التقديم لوحدات "عصفور الجنة"
كتب- محمد عبدالناصر:
أرشيفية
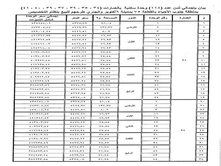
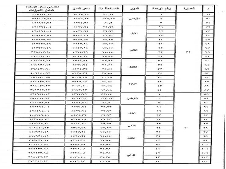
بدأ الجهاز المركزي للتعمير، التابع لوزارة الإسكان والمجتمعات العمرانية، اليوم، بيع كراسات شروط الحجز في شروع عصفور الجنة بمدينة أكتوبر مقابل 300 جنيه، حيث يتم طرح 118 شقة سكنية جاهزة للاستلام كاملة التشطيب والمرافق، في المشروع بمساحات مختلفة وبتيسيرات كبيرة في السداد.
وينشر "مصراوي" تفاصيل الحصول على شقة ضمن الوحدات المطروحة، والتي جاءت على النحو التالي:
- يتم شراء كراسة الشروط من مقر الجهاز التنفيذي للمشروعات المشتركة بحلوان، على أن يتم الحجز والتقديم بداية من 1 ديسمبر المقبل.
- يتواجد المشروع بالقطعة 75 مترا جنوب الأحياء بمدينة 6 أكتوبر.
الأسعار والمساحات:
تتنوع المساحات داخل المشروع والتى تصل لـ76 مترا و80 مترا و81 مترا، و137 مترا، ويتراوح سعر المتر من 5375 جنيه و5477 جنيه و5537 جنيه، حيث يكون يكون الاختلاف في دور الوحدة.
وسجلت الوحدة الـ81 مترا بالدور الأرضي 435 ألف و654 جنيه، والوحدة الـ137 مترا سجلت 773 ألف جنيه.
فيما سجلت الوحدة الـ75 مترا بالدور الثاني 413 ألف و803 جنيه، والوحدة الـ71 مترا سجلت 378 ألف.
أنظمة السداد:
يتم سداد 10% من ثمن الوحدة جدية حجز، و15% دفعة تخصيص و25% دفعة استلام، وفي حال السداد الفوري يتم نسبة 50% المتبقة خلال 3 أشهر من تاريخ التخصيص مع منح المتقدم 3% خصم.
وفي حالة السداد بالتقسيط على هيئة أقساط شهرية لمدة 5 أو 10 أو 15 سنة طبقًا لإمكانيات ورغبة العميل كما يتم إضافة فائدة 7%.



